以下の知見を利用して、Covid-19感染率を推定できる可能性があるようだ
大元の論文見てもよく分からなかったので解説記事から・・・
MAY 11, 2020
New AI diagnostic can predict COVID-19 without testing
https://medicalxpress.com/news/2020-05-ai-diagnostic-covid-.html
キングズ・カレッジ・ロンドン、マサチューセッツ総合病院と健康科学企業ZOEの研究者らは、症状からCOVID-19の可能性が高いかどうかを予測できる人工知能診断装置を開発した。
このAIモデルは、COVID Symptom Studyアプリのデータを用いて、人々の症状と従来のCOVID検査の結果を比較することで、COVID-19感染を予測するものである。研究者によると、これは検査へのアクセスが制限されている集団に役立つ可能性があるという。英国と米国での2つの臨床試験がまもなく開始される予定
世界中で330万人以上の人々がアプリをダウンロードし、体調が良いかどうか、あるいは持続的な咳、発熱、疲労、味覚や嗅覚の喪失(アノスミア)などの新しい症状があるかどうかなど、健康状態を毎日報告するためにアプリを使用
アプリで定期的に健康状態を記録していた英国と米国の250万人弱から集めたデータを分析し、そのうち約3分の1の人がCOVID-19に関連する症状を記録していたという。このうち、18,374人がコロナウイルスの検査を受けたことを報告し、7,178人が陽性反応を示した。
研究チームは、COVID-19に関連することが知られている症状のうち、どの症状が陽性検査に関連している可能性が高いかを調査した。研究チームは、風邪やインフルエンザと比較して幅広い症状を発見し、発熱や咳だけに焦点を当てることに警告を発している。実際、味覚と嗅覚の喪失(無嗅覚)は特に顕著であり、コロナウイルス感染症陽性者の3分の2がこの症状を報告しており、陰性者の5分の1強と比較すると、この症状を報告していた。
COVID-19の予測因子としては、熱よりも無嗅症の方が強いことを示唆しており、この病気の一般的な症状として嗅覚と味覚の喪失が報告されていることを裏付けている。
次に、年齢、性別、および4つの重要な症状の組み合わせに基づいてCOVID-19を発症する可能性があるかどうかを80%近くの精度で予測する数学モデルを作成
このAIによる予測とアプリの普及を組み合わせることで、最も初期の症状が現れ始めたらすぐに感染の可能性がある人を特定し、最も必要とされるところに追跡と検査の努力を集中させることができる可能性があると示唆
Real-time tracking of self-reported symptoms to predict potential COVID-19
Cristina Menni, et al.
Nature Medicine (2020)
https://www.nature.com/articles/s41591-020-0916-2
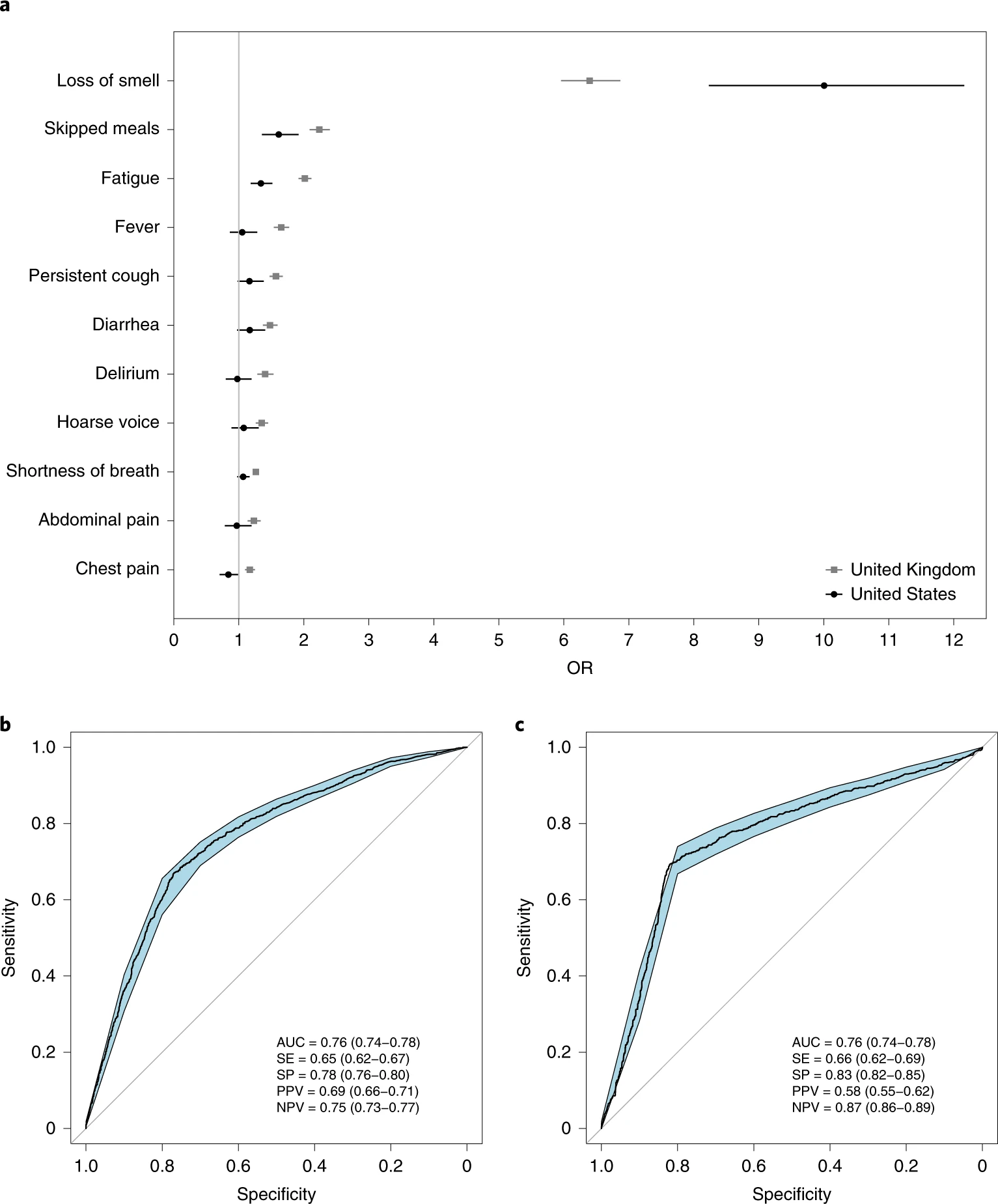
合計 2,618,862 人の参加者が、スマートフォンベースのアプリで COVID-19 の潜在的な症状を報告した。SARS-CoV-2検査を受けた18,401人のうち、嗅覚と味覚の喪失を報告した参加者の割合は、検査結果が陽性の人(7,178人中4,668人、65.03%)の方が陰性の人(11,223人中2,436人、21.71%)よりも高かった(オッズ比=6.74、95%信頼区間=6.31-7.21)。
感染の可能性を予測するために症状を組み合わせたモデルを、症状を報告したすべてのアプリユーザー(805,753人)のデータに適用し、140,312人(17.42%)の参加者がCOVID-19に感染している可能性が高いと予測した。

a, RT-PCR による検査を受けた英国の 15,638 人と米国の 2,763 人の参加者における SARS-CoV-2 感染の症状とオッズ比との関連。b,c, 英国の検査セット(b)および米国の検証セット(c)におけるSARS-CoV-2の陽性検査リスクの予測のROC。AUC、感度(SE)、特異度(SP)、陽性予測値(PPV)および陰性予測値(NPV)の値を示し、95%CIを括弧内に示した。
app-based symptom tracker
Drew, D. et al. Rapid implementation of mobile technology for real-time epidemiology of COVID-19.
Science https://science.sciencemag.org/content/early/2020/05/04/science.abc0473/tab-article-info (2020).
<hr>
一方
入院患者重症度予測スコア
Development and Validation of a Clinical Risk Score to Predict the Occurrence of Critical Illness in Hospitalized Patients With COVID-19
Wenhua Liang et al.; for the China Medical Treatment Expert Group for COVID-19
Author Affiliations Article Information
JAMA Intern Med. Published online May 12, 2020. doi:10.1001/jamainternmed.2020.2033
<img src="https://cdn.jamanetwork.com/ama/content_public/journal/intemed/0/ioi200032f1.png?Expires=2147483647&Signature=KYMFrE9jxLK1DCSp~W1MsKirhzNcO9YxE8aoM1D~iWnYLvB-EjMgxBkvYdRN-Xk77JMXXaEIuBPAOS11S98nd8XrduYZrHjoOBDG6QrbrObUf7ItoyQseTfc9ceBFp2TMczJ0DOEmqtHYqH-iKyoB5cTi55RZsBzU0xQTdT2A2W4aN4xhU0AFAbSQj2KI9RA1Kmhsbzaa73wtNIDDA1PkS~8jDkTbdMRXFgi0tnnrAJep0ZnYM9OYiqIfLuxwqgOZ4jdKJbA7YTFQKS7zz2VDm3MU7tm1W5YVgpPk3~mZy-xv4lOTR1o2gf6La5MyvGsHLwdzC0-Qwox7Y2~wuQS1Q__&Key-Pair-Id=APKAIE5G5CRDK6RD3PGA">